-
таблетки 250мг N60
...
Показать аптеки
Инструкция и описание для Аберон, таблетки, 250 мг (Листок-вкладыш)
Действующим веществом является абиратерон (в виде абиратерона ацетата).
Каждая таблетка содержит 223 мг абиратерона (в виде абиратерона ацетата 250 мг).
Вспомогательные вещества, наличие которых необходимо учитывать в составе лекарственного препарата: каждая таблетка содержит 195,08 мг лактозы моногидрата и 7,58 мг натрия.
Полный перечень вспомогательных веществ приведен в разделе 6.1.
Таблетки.
Овальные двояковыпуклые таблетки белого или почти белого цвета, на поверхности таблеток допускается мраморность.
Препарат АБЕРОН показан для применения в комбинации с преднизоном или преднизолоном для:
- лечения впервые диагностированного метастатического гормон-чувствительного рака предстательной железы с высоким риском у взрослых мужчин в комбинации с антиандрогенной терапией (см. раздел 5.1);
- лечение метастатического кастрационно-резистентного рака предстательной железы у взрослых мужчин с бессимптомным течением или незначительными клиническими проявлениями после неэффективности антиандрогенной терапии, которым еще не показана химиотерапия (см. раздел 5.1);
- лечение метастатического кастрационно-резистентного рака предстательной железы в случае прогрессирования заболевания на фоне химиотерапии на основе доцетаксела или после ее завершения.
Лечение лекарственным препаратом АБЕРОН должен назначать врач, имеющий опыт применения противоопухолевых препаратов.
Режим дозирования
Рекомендуемая суточная доза препарата АБЕРОН составляет 1000 мг (4 таблетки по 250 мг) однократно. Препарат нельзя принимать с пищей (см. «Способ применения» ниже). Прием пищи увеличивает системную экспозицию абиратерона (см. разделы 4.5 и 5.2).
Дозы преднизона и преднизолона:
- При лечении метастатического гормон-чувствительного рака предстательной железы препарат АБЕРОН применяют в комбинации с 5 мг преднизона или преднизолона в сутки.
- При лечении метастатического кастрационно-резистентного рака предстательной железы препарат АБЕРОН применяют в комбинации с 10 мг преднизона или преднизолона в сутки.
Во время лечения необходимо продолжать фармакологическую кастрацию аналогами лютеинизирующего гормона рилизинг-гормона (ЛГРГ) (люлиберина), если пациенту ранее не выполнили хирургическую кастрацию.
Рекомендуемый мониторинг:
Активность сывороточных трансаминаз необходимо измерять перед началом лечения препаратом АБЕРОН, каждые 2 недели в течение первых 3 месяцев лечения и затем ежемесячно. Артериальное давление, концентрацию калия в сыворотке крови и задержку жидкости в организме необходимо измерять ежемесячно. При этом у пациентов с серьезным риском застойной сердечной недостаточности мониторинг необходимо выполнять каждые 2 недели в течение первых 3 месяцев лечения, а затем ежемесячно (см. раздел 4.4).
У пациентов с предсуществующей гипокалиемией или у которых гипокалиемия развилась во время лечения препаратом АБЕРОН необходимо поддерживать концентрацию калия ≥ 4,0 мМ.
У пациентов с проявлениями токсичности ≥ 3 степени тяжести, включая артериальную гипертензию, гипокалиемию, отеки и другие токсические эффекты, не связанные с минералокортикоидами, следует приостановить лечение и назначить соответствующую медикаментозную терапию. Лечение препаратом АБЕРОН не следует возобновлять до тех пор, пока выраженность симптомов токсичности не уменьшится до 1 степени тяжести или исходного уровня.
В случае пропуска суточной дозы препарата АБЕРОН, преднизона или преднизолона лечение следует возобновить на следующий день в обычной суточной дозе.
Гепатотоксичность
У пациентов, у которых во время лечения развивается гепатотоксичность (повышение активности аланинаминотрансферазы (АЛТ) или аспартатаминотрансферазы (ACT) более чем в 5 раз по сравнению с верхней границей нормы (ВГН)), лечение следует немедленно прекратить (см. раздел 4.4). После нормализации показателей функции печени можно возобновить терапию в уменьшенной дозе 500 мг (2 таблетки) 1 раз в сутки. В этом случае контроль активности сывороточных трансаминаз необходимо осуществлять не реже чем каждые 2 недели в течение 3 месяцев, а затем ежемесячно. Если признаки гепатотоксичности появляются при применении дозы 500 мг, терапию препаратом АБЕРОН следует прекратить.
В случае развития на любом этапе лечения тяжелой гепатотоксичности (активность АЛТ или ACT в 20 раз выше верхней границы нормы) препарат АБЕРОН следует отменить, его повторное назначение у таких пациентов недопустимо.
Особые группы пациентов
Печеночная недостаточность
Коррекция дозы у пациентов с нарушением функции печени легкой степени не требуется (класс А по классификации Чайлд-Пью).
Показано, что у пациентов с печеночной недостаточностью средней степени тяжести (класс В по классификации Чайлд-Пью) системное воздействие абиратерона после однократного приема внутрь абиратерона ацетата в дозе 1000 мг (см. раздел 5.2) увеличивается примерно в 4 раза. Данные по клинической безопасности и эффективности многократных доз абиратерона ацетата у пациентов с печеночной недостаточность средней и тяжелой степени (классы В и С по классификации Чайлд-Пью) отсутствуют, поэтому невозможно предсказать необходимую коррекцию дозы. Препарат АБЕРОН следует с осторожностью назначать пациентам с нарушением функции печени средней степени тяжести только в случаях, когда польза от лечения явно превышает возможный риск (см. разделы 4.2 и 5.2). Препарат АБЕРОН нельзя назначать пациентам с тяжелой печеночной недостаточностью (см. разделы 4.3, 4.4 и 5.2).
Пациенты с почечной недостаточностью
Не требуется коррекции дозы у пациентов с нарушением функции почек (см. раздел 5.2). Однако вследствие отсутствия клинического опыта применения у пациентов с раком предстательной железы и сопутствующей тяжелой почечной недостаточностью, таким пациентам абиратерон следует назначать с осторожностью (см. раздел 4.4).
Дети
Препарат АБЕРОН не применяется у детей.
Способ применения
Препарат АБЕРОН предназначен для приема внутрь.
Таблетки следует принимать 1 раз в сутки за один раз на пустой желудок, то есть по меньшей мере через 2 часа после еды, и после приема препарата нельзя есть в течение по меньшей мере 1 часа.
Таблетки следует проглатывать целиком, не разжевывая, запивая небольшим количеством воды.
- Гиперчувствительность к действующему веществу или к любому из вспомогательных веществ, перечисленных в разделе 6.1.
- Беременные женщины или женщины, у которых не исключена беременность (см. раздел 4.6).
- Тяжелая печеночная недостаточность – класс С по классификации Чайлд-Пью (см. разделы 4.2, 4.4 и 5.2).
- Противопоказано применение комбинации препарата АБЕРОН и преднизона или преднизолона одновременно с Ra-223.
Артериальная гипертензия, гипокалиемия, задержка жидкости и сердечная недостаточность вследствие избытка минералокортикоидов
Препарат АБЕРОН может вызвать артериальную гипертензию, гипокалиемию и задержку жидкости (см. раздел 4.8) вследствие повышения концентрации минералокортикоидов, вызванного ингибированием фермента CYP17 (см. раздел 5.1). Одновременное применение кортикостероида ослабляет стимулирующее действие адренокортикотропного гормона (АКТГ), обеспечивая снижение частоты и тяжести этих побочных реакций. Следует проявлять осторожность при лечении пациентов, клиническое состояние которых может ухудшиться при повышении артериального давления, развитии гипокалиемии (например, получающих сердечные гликозиды) или задержке жидкости в организме (например, у пациентов с сердечной недостаточностью, тяжелой или нестабильной стенокардией, недавно перенесших инфаркт миокарда или желудочковую аритмию, а также с тяжелым нарушением функции почек).
Препарат АБЕРОН следует с осторожностью назначать пациентам с сердечно-сосудистыми заболеваниями в анамнезе. В исследования абиратерона ацетата фазы 3 не включали пациентов с неконтролируемой артериальной гипертензией, серьезными с клинической точки зрения заболеваниями сердца, такими как, инфаркт миокарда или артериальные тромботические явления в течение последних 6 месяцев, тяжелой или нестабильной стенокардией или сердечной недостаточностью III или IV функционального класса по классификации Нью-Йоркской кардиологической ассоциации (NYHA) (исследование 301) или сердечной недостаточностью II-IV класса по классификации NYHA (исследования 3011 и 302) или с изменением фракции сердечного выброса до < 50%. В исследования 3011 и 302 не включали пациентов с фибрилляцией предсердий или другими сердечными аритмиями, требующими медикаментозной терапии. Безопасность препарата у пациентов с фракцией выброса левого желудочка < 50% или с сердечной недостаточностью III-IV класса по классификации NYHA (в исследовании 301) или с сердечной недостаточностью II-IV класса по классификации NYHA (в исследованиях 3011 и 302) не установлена (см. разделы 4.8 и 5.1).
Перед началом лечения пациентов со значимым риском застойной сердечной недостаточности (например, с сердечной недостаточностью в анамнезе, неконтролируемой артериальной гипертензией или заболеваниями сердца, такими как ишемическая болезнь сердца), необходимо оценить целесообразность оценки функции сердца (например, выполнения эхокардиограммы). Перед началом применения абиратерона ацетата необходимо провести лечение сердечной недостаточности и нормализовать сердечную функцию. Следует корректировать и контролировать артериальную гипертензию, гипокалиемию и задержку жидкости. Во время лечения артериальное давление, уровень калия в сыворотке крови, задержку жидкости (увеличение массы тела, периферические отеки) и другие признаки и симптомы застойной сердечной недостаточности следует оценивать каждые 2 недели в течение 3 месяцев, затем ежемесячно и корректировать отклонения. У пациентов с гипокалиемией на фоне лечения абиратерона ацетатом наблюдалось удлинение интервала QT. При возникновении клинических показаний необходимо оценить функцию сердца, назначить соответствующее лечение и рассмотреть целесообразность прекращения рассматриваемой терапии в случае клинически значимого снижения сердечной функции (см. раздел 4.2).
Гепатотоксичность и печеночная недостаточность
В контролируемых клинических исследованиях регистрировали выраженное повышение активности печеночных ферментов, потребовавшее отмены или коррекции дозы препарата (см. раздел 4.8). Активность сывороточных трансаминаз следует оценивать перед началом применения препарата АБЕРОН, каждые 2 недели в течение первых 3 месяцев лечения и затем ежемесячно. В случае появления клинических симптомов и признаков, указывающих на гепатотоксичность, следует незамедлительно измерить активность сывороточных трансаминаз. Если активность АЛТ или ACT превышает ВГН в 5 или более раз следует незамедлительно прервать применение препарата и тщательно контролировать функцию печени. Лечение препаратом АБЕРОН можно возобновить только после снижения показателей функции печени до исходных значений и только в более низкой дозе (см. раздел 4.2).
Если у пациентов на любом этапе терапии развивается тяжелая гепатотоксичность (активность АЛТ или ACT превышает ВГН в 20 раз), лечение следует прекратить, повторное назначение препарата АБЕРОН таким пациентам недопустимо.
Пациентов с активным вирусным гепатитом или с вирусным гепатитом с клиническими проявлениями не включали в клинические исследования, поэтому данные в пользу применения препарата АБЕРОН в данной популяции отсутствуют.
Отсутствуют данные о клинической безопасности и эффективности многократного применения абиратерона ацетата у пациентов с нарушением функции печени средней или тяжелой степени (класс В или С по классификации Чайлд-Пью). Препарат АБЕРОН следует с осторожностью назначать пациентам с нарушением функции печени средней степени тяжести только в случаях, когда польза от лечения однозначно превышает возможный риск (см. разделы 4.2 и 5.2). Препарат АБЕРОН нельзя назначать пациентам с тяжелой печеночной недостаточностью (см. разделы 4.2, 4.3 и 5.2).
В постмаркетинговом периоде получено небольшое количество сообщений о случаях острой печеночной недостаточности или молниеносного гепатита, в том числе с летальным исходом (см. раздел 4.8).
Отмена глюкокортикостероидов и купирование стрессовых ситуаций
При отмене преднизона или преднизолона следует проявлять осторожность и контролировать признаки недостаточности функции коры надпочечников. Если применение препарата АБЕРОН продолжается после отмены глюкокортикостероидов, следует контролировать симптомы избытка минералокортикоидов (см. выше).
Пациентам, получающим преднизон или преднизолон, в случаях необычных стрессовых воздействий может быть назначена повышенная доза глюкокортикостероидов перед, во время и после стрессовой ситуации.
Плотность костной ткани
У пациентов с метастатическим местнораспространенным раком предстательной железы может снижаться плотность костной ткани. Применение препарата АБЕРОН в комбинации с глюкокортикостероидом может усилить данный эффект.
Предшествующее применение кетоконазола
У пациентов, ранее получавших кетоконазол для лечения рака предстательной железы, следует ожидать менее выраженный терапевтический ответ на абиратерон.
Гипергликемия
Применение глюкокортикоидов может повысить содержание глюкозы в крови, поэтому у пациентов с сахарным диабетом необходимо часто контролировать уровень глюкозы в крови.
Гипогликемия
Сообщается о случаях гипогликемии на фоне лечения абиратероном в комбинации с преднизоном/преднизолоном у пациентов с сахарным диабетом, которые получали пиоглизатон или репаглинид (см. раздел 4.5), поэтому у пациентов с сахарным диабетом необходимо часто контролировать уровень глюкозы в крови.
Одновременное применение препарата АБЕРОН и химиотерапии
Безопасность и эффективность одновременного применения препарата АБЕРОН и цитотоксической химиотерапии не установлены (см. раздел 5.1).
Непереносимость вспомогательных веществ
Данный лекарственный препарат содержит лактозу, поэтому пациентам с редко встречающейся наследственной непереносимостью галактозы, дефицитом лактазы лопарей или глюкозо-галактозной мальабсорбцией не следует принимать этот препарат.
В суточной дозе (4 таблетках) данного препарата содержится 1,32 ммоль (30,32 мг) натрия, что необходимо учитывать при лечении пациентов, находящихся на диете с ограниченным поступлением натрия.
Потенциальные риски
Анемия и нарушения половой функции могут развиться у мужчин с метастатическим кастрационно-резистентным раком предстательной железы, включая принимающих абиратерон.
Влияние на скелетную мускулатуру
Сообщается о случаях миопатии и рабдомиолиза у пациентов, получавших абиратерон. Такие нарушения проявлялись преимущественно в первые 6 месяцев лечения и разрешались после прекращения приема абиратерона.
Рекомендуется соблюдать осторожность при лечении абиратероном пациентов, одновременно получающих лекарственные препараты, которые могут вызывать миопатию/рабдомиолиз.
Взаимодействие с другими лекарственными препаратами
Во время лечения следует избегать применения мощных индукторов изофермента CYP3A4, кроме случаев отсутствия терапевтической альтернативы, вследствие риска снижения экспозиции абиратерона (см. раздел 4.5).
Применение комбинации абиратерона и преднизона/преднизолона с Ra-223
Лечение абиратероном и преднизоном/преднизолоном в сочетании с Ra-223 противопоказано (см. раздел 4.3) вследствие наблюдавшегося в клинических исследованиях повышенного риска переломов и тенденции к повышению смертности пациентов с бессимптомным раком предстательной железы и раком предстательной железы с клиническими проявлениями.
Не рекомендуется назначать последующее лечение Ra-223 в течение по меньшей мере 5 дней после последнего применения абиратерона в комбинации с преднизоном/преднизолоном.
Влияние пищи на абиратерона ацетат
Прием с пищей значимо увеличивает всасывание абиратерона ацетата. Эффективность и безопасность данного препарата при приеме с пищей не установлены, поэтому его нельзя принимать во время еды (см. разделы 4.2 и 5.2).
Взаимодействие с другими лекарственными препаратами
Препараты, которые могут оказать влияние на экспозицию абиратерона
В клиническом исследовании фармакокинетического взаимодействия здоровые добровольцы получали мощный индуктор изофермента CYP3A4 рифампицин в дозе 600 мг в сутки в течение 6 дней, а затем однократную дозу абиратерона ацетата 1000 мг. В результате средняя площадь под кривой «концентрация в плазме крови–время» (AUC¥) абиратерона снижалась на 55%.
Следует избегать совместного применения препарата АБЕРОН и мощных индукторов изофермента CYP3A4 (например, фенитоин, карбамазепин, рифампицин, рифабутин, рифапентин, фенобарбитал, зверобой продырявленный [Hypericum perforatum]). Назначение лекарственных препаратов данной группы допустимо только в случае отсутствия терапевтической альтернативы.
В отдельном клиническом исследовании фармакокинетического взаимодействия с участием здоровых добровольцев одновременное применение кетоконазола, мощного ингибитора CYP3A4, не оказывало клинически значимого влияния на фармакокинетику абиратерона.
Препараты, на экспозицию которых может оказать влияние абиратерон
Абиратерон ингибирует метаболизирующие лекарственные препараты ферменты печени CYP2D6 и CYP2C8. В исследовании по оценке влияния абиратерона ацетата (в комбинации с преднизоном) на однократную дозу декстрометорфана (субстрата изофермента CYP2D6) системная экспозиция (AUC) декстрометорфана увеличилась примерно в 2,9 раза. AUC24 дектрофана, активного метаболита декстрометорфана, увеличилась примерно на 33%.
Рекомендуется с осторожностью назначать препарат АБЕРОН одновременно с препаратами, которые активируются или метаболизируются изоферментом CYP2D6, в особенности с препаратами с узким терапевтическим индексом. В таких случаях следует рассмотреть целесообразность снижения дозы лекарственных препаратов с узким терапевтическим индексом, метаболизирующихся изоферментом CYP2D6. К таким препаратам относятся метопролол, пропраполол, дезипрамин, венлафаксин, галоперидол, рисперидон, пропафенон, флекаинид, кодеин, оксикодон и трамадол (в случае 3 последних лекарственных препаратов изофермент CYP2D6 необходим для образования активных метаболитов, оказывающих анальгетическое действие).
При исследовании межлекарственного взаимодействия препарата АБЕРОН с препаратами, являющимися субстратами изофермента CYP2C8, у здоровых добровольцев AUC пиоглитазона (субстрата изофермента CYP2C8) увеличилась на 46%, а AUC его активных метаболитов уменьшалась на 10% при совместном применении с разовой дозой абиратерона ацетата 1000 мг. Рекомендуется контролировать признаки токсичности при совместном применении препарата АБЕРОН с лекарственными препаратами, являющимися субстратами изофермента CYP2C8 с узким терапевтическим индексом. К препаратам, метаболизируемым CYP2C8, помимо прочего, относятся пиоглитазон и репаглинид (см. раздел 4.4).
In vitro показано, что основные метаболиты – абиратерона сульфат и N-оксид абиратерона сульфат – ингибируют транспортер печеночного захвата ОАТР1В1, что, в свою очередь, может повысить концентрацию препаратов, элиминируемых ОАТР1В1. Клинические данные, подтверждающие взаимодействия с участием транспортеров, отсутствуют.
Применение с лекарственными препаратами, удлиняющими интервал QT
Поскольку антиандрогенная терапия может удлинить интервал QT, рекомендуется с осторожностью назначать абиратерон совместно с препаратами, удлиняющими интервал QT, а также способными вызвать желудочковую тахикардию типа «пируэт», такими как антиаритмические препараты класса 1А (например, хинидин, дизопирамид) или класса III (например, амиодарон, соталол, дофетилида, ибутилид), метадон, моксифлоксацин, нейролептики и другие.
Совместный прием со спиронолактоном
Спиронолактон связывается с рецепторами андрогенов и может повысить уровень простат-специфического антигена (ПСА). Не рекомендуется применять спиронолактон совместно с препаратом АБЕРОН (см. раздел 5.1).
Женщины детородного возраста
Данные по применению препарата АБЕРОН у беременных женщин отсутствуют, и данный препарат не предназначен для лечения женщин детородного возраста.
Контрацепция у мужчин и женщин
Неизвестно, присутствует ли абиратерон или его метаболиты в сперме. Во время полового акта с беременной женщиной необходимо использовать презерватив. Во время полового акта с женщиной детородного возраста необходимо использовать презерватив одновременно с другим эффективным методом контрацепции. В исследованиях на животных показана репродуктивная токсичность абиратерона (см. раздел 5.3).
Беременность
Препарат АБЕРОН не применяется у женщин и противопоказан беременным женщинам и женщинам, способным забеременеть (см. разделы 4.3 и 5.3).
Кормление грудью
Препарат АБЕРОН не применяется у женщин.
Фертильность
Абиратерона ацетат оказывал влияние на фертильность самцов и самок крыс, но данные эффекты были полностью обратимыми (см. раздел 5.3).
Препарат АБЕРОН не влияет или оказывает незначительное влияние на способность управлять автомобилем и движущимися механизмами.
Резюме профиля безопасности
Побочные реакции, зарегистрированные у > 10% участников по результатам анализа объединенных данных клинических исследований абиратерона фазы 3: периферические отеки, гипокалиемия, артериальная гипертензия, инфекции мочевыводящих путей, повышение уровней аланинаминотрансферазы и/или аспартатаминотрансферазы. Другие важные нежелательные реакции включают нарушения со стороны сердца, гепатотоксичность, переломы и аллергический альвеолит.
Фармакодинамические последствия механизма действия абиратерона ацетата могут проявляться артериальной гипертензией, гипокалиемией и задержкой жидкости. В исследованиях фазы 3 ожидаемые нежелательные реакции минералокортикоидов наблюдались чаще у пациентов, получавших абиратерона ацетат, чем у пациентов, получавших плацебо: гипокалиемия - у 18% и 8%, артериальная гипертензия - у 22% и 16% и задержка жидкости (периферические отеки) - у 23% и 17% соответственно. У пациентов в группе абиратерона ацетата по сравнению с пациентами в группе плацебо: гипокалиемия 3 и 4 степени по СТСАЕ (версия 4.0) наблюдалась у 6% и 1%, гипертония 3 и 4 степени СТСАЕ (версия 4.0) - у 7% и 5%, задержка жидкости (периферические отеки) 3 и 4 степени СТСАЕ - у 1% и 1% пациентов соответственно. Минералокортикоидные реакции в целом успешно лечились медикаментозно. Одновременное применение кортикостероидов снижает частоту и тяжесть данных нежелательных реакций (см. раздел 4.4).
Резюме в форме таблицы нежелательных реакций
В исследованиях с участием пациентов с метастатическим распространенным раком предстательной железы, которые получали аналог ЛГРГ или ранее перенесли орхиэктомию, абиратерона ацетат применяли в дозе 1000 мг в сутки в сочетании с низкими дозами преднизона или преднизолона (5 или 10 мг в сутки в зависимости от показаний).
Нежелательные реакции, зарегистрированные в клинических исследованиях и в постмаркетинговом периоде, перечислены ниже по категориям частоты (таблица 1). Категории частоты определяются следующим образом: очень часто (> 1/10); часто (от > 1/100 до < 1/10); нечасто (от > 1/1000 до <1/100); редко (от > 1/10 000 до < 1/1000); очень редко (< 1/10 000), частота неизвестна (частота не может быть оценена на основании имеющихся данных).
Таблица 1. Нежелательные реакции, зарегистрированные в клинических исследованиях и пострегистрационном периоде
|
Системно-органный класс |
Частота |
|
Инфекции и инвазии |
Очень часто: инфекции мочевыводящих путей Часто: сепсис |
|
Нарушения со стороны иммунной системы |
Частота неизвестна: анафилактические реакции |
|
Эндокринные нарушения |
Нечасто: недостаточность функции надпочечников |
|
Нарушения метаболизма и питания |
Очень часто: гипокалиемия Часто: гипертриглицеридемия |
|
Нарушения со стороны сердца |
Часто: сердечная недостаточность*, стенокардия, фибрилляция предсердий, тахикардия Нечасто: другие аритмии Частота неизвестна: инфаркт миокарда, удлинение интервала QT (см. разделы 4.4 и 4.5) |
|
Нарушения со стороны сосудов |
Очень часто: артериальная гипертензия |
|
Нарушения со стороны дыхательной системы, органов грудной клетки и средостения |
Редко: аллергический альвеолита |
|
Желудочно-кишечные нарушения |
Очень часто: диарея Часто: диспепсия |
|
Нарушения со стороны печени и желчевыводящих путей |
Очень часто: повышение уровня аланинаминотрансферазы и/или аспартатаминотрансферазыb Редко: фульминантный гепатит, острая печеночная недостаточность |
|
Нарушения со стороны кожи и подкожных тканей |
Часто: сыпь |
|
Нарушения со стороны мышечной, скелетной и соединительной ткани |
Нечасто: миопатия, рабдомиолиз |
|
Нарушения со стороны почек и мочевыводящих путей |
Часто: гематурия |
|
Общие нарушения и реакции в месте введения |
Очень часто: периферические отеки |
|
Травмы, интоксикации и осложнения процедур |
Часто: переломы** |
*Сердечная недостаточность также включает острую сердечная недостаточность, левожелудочковую недостаточность, уменьшение фракции выброса левого желудочка.
**Переломы включают остеопороз и все переломы, кроме патологических переломов.
аСпонтанные сообщения в постмаркетинговом периоде.
bПовышение уровня аланинаминотрансферазы и/или аспартатаминотрансферазы включает повышение уровня АЛТ, повышение уровня ACT, нарушение функции печени.
Нежелательные реакции 3 степени тяжести по СТСАЕ (версия 4.0), которые были зарегистрированы у пациентов, получавших абиратерон: гипокалиемия – у 5%; инфекции мочевыводящих путей – у 2%; повышение уровня АЛТ и/или ACT – у 4%; артериальная гипертензия – у 6%; переломы – у 2%; периферические отеки, сердечная недостаточность и мерцательная аритмия – по 1% пациентов. Гипертриглицеридемию и стенокардию 3 степени тяжести по СТСАЕ (версия 4.0) зарегистрировали у < 1% пациентов, а инфекции мочевыводящих путей, повышение уровня АЛТ и/или ACT, гипокалиемию, сердечная недостаточность, мерцательная аритмия и переломы 4 степени тяжести по СТСАЕ (версия 4.0) – у < 1% пациентов.
Более высокая частота артериальной гипертензии и гипокалиемии наблюдалась у пациентов с гормон-чувствительными опухолями (исследование 3011). Артериальная гипертензия зарегистрирована у 36,7% пациентов с гормон-чувствительными опухолями (исследование 3011) по сравнению с 11,8% и 20,2% в исследованиях 301 и 302 соответственно. Гипокалиемия наблюдалась у 20,4% пациентов с гормон-чувствительными опухолями (исследование 3011) по сравнению с 19,2% и 14,9% в исследованиях 301 и 302 соответственно.
Частота и степень выраженности нежелательных реакций были выше в подгруппе пациентов с результатом оценки общего состояния по шкале ECOG на исходном уровне 2 балла, а также у пожилых пациентов (≥ 75 лет).
Описание отдельных нежелательных реакций
Сердечно-сосудистые реакции
В три клинические исследования фазы 3 не включали пациентов с неконтролируемой артериальной гипертензией, клинически значимыми заболеваниями сердца, о которых свидетельствовали перенесенные в течение последних 6 месяцев инфаркт миокарда или явления артериальной тромбоэмболии, пациентов с тяжелой или нестабильной стенокардией или сердечной недостаточностью класса III или IV по NYHA (исследование 301) или класса II-IV (исследования 3011 и 302), а также пациенты с уменьшением фракции выброса более чем на 50%. Все включенные в исследования пациенты (группы активного препарата и плацебо) одновременно с исследуемой терапией получали антиандрогенные препараты, в основном аналоги ЛГРГ, которые связывают с развитием сахарного диабета, инфаркта миокарда, нарушений мозгового кровообращения и внезапной сердечной смертью. Частота сердечно-сосудистых нежелательных реакций в исследованиях фазы 3 у пациентов в группе абиратерона в сравнении с пациентами в группе плацебо: фибрилляция предсердий - 2,6% и 2,0%; тахикардия - 1,9% и 1,0%; стенокардия - 1,7% и 0,8%; сердечная недостаточность - 0,7% и 0,2%; аритмия - 0,7% и 0,5% соответственно.
Гепатотоксичность
У пациентов, получавших абиратерон, зарегистрировали гепатотоксичность с повышением уровней АЛТ, ACT и общего билирубина. Примерно у 6% получавших абиратерон участников во всех клинических исследованиях фазы 3, как правило, в течение первых 3 месяцев после начала лечения регистрировали проявления гепатотоксичности 3 и 4 степени тяжести (например, повышение уровня АЛТ или ACT более чем в 5 раз выше верхней границы нормы (ВГН) или билирубина более чем в 1,5 × ВГН). В исследовании 3011 гепатотоксичность 3 или 4 степени тяжести наблюдалась у 8,4% пациентов, получавших абиратерона ацетат. Десять пациентов, получавших абиратерона ацетат, прекратили лечение вследствие гепатотоксичности; у 2 наблюдалась гепатотоксичность 2 степени, у 6 - гепатотоксичность 3 степени, и у 2 - гепатотоксичность 4 степени тяжести. В исследовании 3011 ни один пациент не умер от гепатотоксичности. В клинических исследованиях фазы 3 у пациентов с повышенным исходным уровнем АЛТ или ACT показатели функциональных проб печени повышались с большей вероятностью, чем у пациентов с нормальными значениями функциональных проб печени в начале лечения. При повышении уровня АЛТ или ACT в > 5 × ВГН или уровня билирубина в > 3 × ВГН прием абиратерона ацетата прерывали или прекращали. В 2 случаях отмечено выраженное повышение функциональных проб печени (см. раздел 4.4). У этих 2 пациентов с нормальной функцией печени на исходном уровне зарегистрировали повышение уровня АЛТ или ACT до 15-40 × ВГН и уровня билирубина до 2-6 × ВГН. После прекращения лечения у обоих пациентов нормализовалась функция печени, один из них прошел повторное лечение без рецидива повышения уровня печеночных ферментов. В исследовании 302 повышение уровня АЛТ или ACT 3 или 4 степени тяжести наблюдалось у 35 (6,5%) пациентов, получавших абиратерона ацетат. Повышение уровня аминотрансфераз было обратимым у всех, кроме 3 пациентов (2 пациента с новыми множественными метастазами в печени и 1 пациент с повышением уровня ACT примерно через 3 недели после приема последней дозы абиратерона ацетата). В клинических исследованиях фазы 3 прекращение лечения вследствие повышения уровня АЛТ и ACT или нарушения функции печени произошло у 1,1% пациентов, получавших абиратерона ацетата, и у 0,6% пациентов, получавших плацебо. О случаях смерти в результате гепатотоксичности не сообщается.
В клинических исследованиях риск гепатотоксичности минимизировали за счет исключения на исходном уровне пациентов с гепатитом или значимым нарушением функции печени. В исследование 3011 не включали пациентов, у которых на исходном уровне были уровни АЛТ и ACT > 2,5 × ВГН, билирубина > 1,5 × ВГН, а также активный или сопровождающийся клиническими проявлениями вирусный гепатит, либо хроническое заболевание печени, асцит или нарушение свертываемости крови вследствие нарушения функции печени. В исследование 301 не включали пациентов с уровнями АЛТ и ACT > 2,5 × ВГН без метастазов в печень и > 5 × ВГН с метастазами в печень на исходном уровне. В исследование 302 не включали пациентов с метастазами в печень и пациентов с исходными уровнями АЛТ и ACT >2,5 × ВГН. При выявлении в ходе клинических исследований отклонений показателей функции печени от нормы лечение немедленно прерывали и возобновляли только после возвращения показателей функции печени до исходного уровня (см. раздел 4.2). Пациентам с уровнями АЛТ или ACT > 20 × ВГН повторно абиратерон не назначали. Безопасность повторного курса лечения у таких пациентов неизвестна. Механизм гепатотоксичности не изучен.
Сообщение о подозреваемых нежелательных реакциях
Важно сообщать о подозреваемых нежелательных реакциях после регистрации лекарственного препарата с целью обеспечения непрерывного мониторинга соотношения «польза-риск» лекарственного препарата. Медицинским работникам рекомендуется сообщать о подозреваемых нежелательных реакциях лекарственного препарата через национальные системы сообщения о нежелательных реакциях государств-членов Евразийского экономического союза.
Республика Беларусь
Адрес: 220037, г. Минск, пер. Товарищеский, 2а
УП «Центр экспертиз и испытаний в здравоохранении»
Телефон: +375 (17) 242-00-29
Факс: +375 (17) 242-00-29
Электронная почта: rcpl@rceth.by
Сайт: rceth.by
Данные о передозировке абиратероном ограничены.
Специфический антидот отсутствует. В случае передозировки прием препарата следует приостановить и провести поддерживающие мероприятия, включая контроль аритмии, гипокалиемии, а также признаков и симптомов задержки воды. Также следует контролировать функцию печени.
Фармакотерапевтическая группа: Гормональные средства. Прочие антагонисты гормонов и родственные соединения.
Код АТХ: L02BX03.
Механизм действия
Абиратерона ацетат in vivo конвертируется в абиратерон, который является ингибитором биосинтеза андрогенов. В частности, абиратерон избирательно ингибирует фермент 17α-гидроксилазу/С17,20-лиазу (СУР17). Этот фермент экспрессируется в тканях опухолей яичек, надпочечников и предстательной железы и необходим для биосинтеза андрогенов в этих тканях. CYP17 катализирует превращение прегненолона и прогестерона в предшественники тестостерона, дегидроэпиандростерон и андростендион соответственно, путем 17α-гидроксилирования и разрыва связи С17,20. Ингибирование CYP17 также усиливает синтез минералкортикоидов в надпочечниках (см. раздел 4.4).
Андроген-чувствительный рак предстательной железы реагирует на лечение, снижающее концентрацию андрогенов. Антиандрогенная терапия, например, применение агонистов люлиберина или орхидэктомия, снижает продукцию андрогенов в яичках, но не влияет на продукцию андрогенов в надпочечниках и в опухоли. Применение абиратерона совместно с агонистами люлиберина (или орхидэктомией) снижает концентрацию тестостерона в сыворотке крови до нерегистрируемых уровней (при применении имеющихся методов диагностики).
Фармакодинамические эффекты
Препарат АБЕРОН обеспечивает более выраженное снижение концентрации тестостерона и других андрогенов в сыворотке крови, чем агонисты люлиберина или орхидэктомия. Это обусловлено избирательным ингибированием фермента CYP17, который необходим для биосинтеза андрогенов. Простат-специфический антиген (ПСА) выступает в роли биомаркера у пациентов с раком предстательной железы. В клиническом исследовании фазы 3 с участием пациентов, которые ранее не ответили на химиотерапию таксанами, снижение уровня ПСА по меньшей мере на 50% от исходного уровня наблюдалось у 38% пациентов в группе абиратерона ацетата и у 10% пациентов в группе плацебо соответственно.
Клиническая эффективность и безопасность
Эффективность абиратерона ацетата продемонстрировали в 3 рандомизированных плацебо-контролируемых многоцентровых клинических исследованиях фазы 3 (исследования 3011, 302 и 301) с участием пациентов с метастатическим гормон-чувствительным раком предстательной железы и метастатическим кастрационно-резистентным раком предстательной железы. В исследование 3011 включали пациентов с впервые диагностированным (в течение 3 месяцев до рандомизации) метастатическим гормон-чувствительным раком предстательной железы и прогностическими факторами высокого риска. Прогноз высокого риска определили как наличие по меньшей мере 2 из следующих 3 факторов риска: (1) оценка по шкале Глисона > 8; (2) наличие не менее 3 очагов по результатам остеосцинциграфии; (3) наличие измеримых висцеральных (кроме поражения лимфатических узлов) метастазов. В группе активного препарата абиратерон вводили в дозе 1000 мг в сутки в сочетании с низкой дозой преднизона 5 мг 1 раз в сутки в дополнение к антиандрогенной терапии (агонист ЛГРГ или орхиэктомия), что было стандартом лечения. Пациенты контрольной группы получали антиандрогенную терапию, а также плацебо абиратерона и преднизона. В исследование 302 включали пациентов, которые ранее не получали доцетаксел; тогда как в исследование 301 включали пациентов, которые ранее получали доцетаксел. Пациенты получали аналог ЛГРГ или ранее перенесли орхиэктомию. В группе активного препарата абиратерон вводили в дозе 1000 мг в сутки в сочетании с низкой дозой преднизона или преднизолона 5 мг 2 раза в сутки. Пациенты контрольной группы получали плацебо и низкую дозу преднизона или преднизолона 5 мг 2 раза в сутки.
Само по себе изменение концентрации ПСА в сыворотке крови не во всех случаях позволяет прогнозировать клиническую пользу. Поэтому во всех исследованиях рекомендовалось продолжать исследуемую терапию до достижения критериев прекращения, указанных ниже для каждого исследования.
Во всех исследованиях использование спиронолактона не разрешалось, поскольку спиронолактон связывается с рецепторами андрогенов и может повысить уровень ПСА.
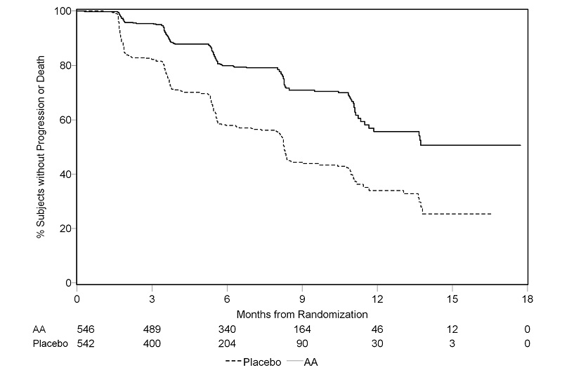
Исследование 3011 (пациенты с впервые диагностированным метастатическим гормон-чувствительным раком предстательной железы с высоким риском)
В исследовании 311 (n = 1199) медиана возраста включенных пациентов составила 67 лет. Количество пациентов, получавших абиратерона ацетат, с разбивкой по расовым группам: европеоидная раса - 832 (69,4%), монголоидная раса - 246 (20,5%), негроидная раса или афроамериканцы - 25 (2,1%), другие - 80 (6,7%), неизвестно/не сообщалось - 13 (1,1%), американские индейцы или коренные жители Аляски - 3 (0,3%). Функциональный статус по шкале ECOG был 0 или 1 у 97% пациентов. В исследование не включали пациентов с выявленными метастазами в головной мозг, неконтролируемой артериальной гипертензией, значимыми заболеваниями сердца или сердечной недостаточностью класса II-IV по шкале NYHA. Также в исследование не включали пациентов, которые ранее получали медикаментозную или лучевую терапию, а также перенесли хирургическое вмешательство по поводу метастатического рака предстательной железы, кроме пациентов, которые получали антиандрогенную терапию не более 3 месяцев, либо которым выполнили 1 курс паллиативного облучения или хирургическое вмешательство для лечения симптомов, вызванных метастазами. Совместными первичными конечными точками эффективности были общая выживаемость (ОВ) и выживаемость без прогрессирования по данным рентгенографии (рВБП). Медиана оценки выраженности боли с использованием Модифицированного короткого опросника оценки боли (BPI-SF) на исходном уровне составила 2,0 как в группе исследуемой терапии, так и в группе плацебо. Дополнительно к показателям совместных первичных конечных точек пользу также оценивали по времени, которое прошло до явления, связанного со скелетом (SRE), времени до начала следующей линии терапии рака предстательной железы, времени до начала химиотерапии, времени до прогрессирования боли и времени до повышения уровня ПСА. Лечение продолжали до прогрессирования заболевания, отзыва информированного согласия, развития неприемлемой токсичности или смерти.
Выживаемость без рентгенологического прогрессирования определяли как время от рандомизации до рентгенологического прогрессирования или смерти от любой причины.
Рентгенологическое прогрессирование включало прогрессирование по результатам остеосцинциграфии (по модифицированным критериям PCWG2) и прогрессирование поражения мягких тканей по результатам компьютерной томографии или магнитно-резонансной томографии (по шкале RECIST 1.1).
Наблюдалась значимое различие рВБП между группами лечения (см. таблицу 2 и рисунок 1).
Таблица 2. Выживаемость без рентгенологического прогрессирования – стратифицированный анализ, популяция всех рандомизированных пациентов (исследование PCR3011)
|
|
АА-П |
Плацебо |
|
Рандомизированные участники |
597 |
602 |
|
Явления |
239 (40,0%) |
354 (58,8%) |
|
Цензурировано |
358 (60,0%) |
248 (41,2%) |
|
Время до события (месяцы) |
|
|
|
Медиана (95% ДИ) |
33,02 (29,57, НПО) |
14,78 (14,69, 18,27) |
|
Диапазон |
(0,0+, 41,0+) |
(0,0+, 40,6+) |
|
Значение ра |
< 0,0001 |
|
|
Отношение рисков (95% ДИ)b |
0,466 (0,394, 0,550) |
|
+ = цензурированное наблюдение, НПО = не подлежит оценке. Прогрессирование по данным рентгенографии и смерть учитываются при определении события рВБП. АА-П = пациенты в группе абиратерона ацетата и преднизолона.
аЗначение р получено с использованием логрангового критерия, стратифицированного по оценке по шкале ECOG PS (0/1 или 2) и поражению внутренних органов (отсутствует или присутствует).
bОтношение рисков (ОР) получено из стратифицированной модели пропорциональных рисков. Отношение рисков < 1 в пользу АА-П.
Рисунок 1. Кривая Каплана-Мейера для выживаемости без рентгенологического прогрессирования; все рандомизированные пациенты (исследование PCR3011)

Наблюдаемое статистические значимое улучшение общей выживаемости в пользу применения абиратерона ацетата в комбинации с преднизолоном и антиандрогенной терапией сопровождалось снижением риска смерти по сравнению с применение плацебо и антиандрогенной терапии (ОР = 0,66, 95% ДИ 0,56, 0,78, р < 0,0001) (см. таблицу 3 и рисунок 2).
Таблица 3. Общая выживаемость пациентов, получавших абиратерона ацетат или плацебо в исследовании PCR3011 (анализ всех рандомизированных пациентов)
|
Общая выживаемость |
Абиратерона ацетат + преднизон (N = 597) |
Плацебо (N = 602) |
|
Случаи смерти (%) |
275 (46%) |
343 (57%) |
|
Медиана выживаемости (месяцы) (95% ДИ) |
53,3 (48,2, НПО) |
36,5 (33,5, 40,0) |
|
Отношение рисков (95% ДИ)1 |
0,66 (0,56, 0,78) |
|
НПО = не подлежит оценке
1Отношение рисков получено из стратифицированной модели пропорциональных рисков. Отношение рисков < 1 в пользу АА-П.
Рисунок 2. Кривая Каплана-Мейера для общей выживаемости; анализ данных всех рандомизированных пациентов в исследовании PCR3011

Результаты анализа в подгруппах стабильно указывают на преимущество лечения абиратерона ацетатом. Влияние лечения комбинацией абиратерона ацетата и преднизолона на рВБП и ОВ в заранее определенных подгруппах было благоприятным и согласовывалось с данными для общей популяции исследования, кроме подгруппы участников с оценкой 2 по шкале ECOG, у которых отсутствовала тенденция к улучшению состояния, однако небольшой размер выборки (n = 40) не позволяет сделать однозначные выводы.
Кроме наблюдаемого увеличения общей выживаемости и рВБП продемонстрировано преимущество абиратерона ацетата перед плацебо в отношении всех проспективно определенных вторичных конечных точек.
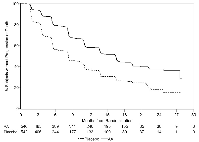
Исследование 302 (пациенты, ранее не получавшие химиотерапию)
В это исследование включали ранее не получавших химиотерапию пациентов, у которых отсутствовали симптомы, либо наблюдались симптомы легкой степени, и которым химиотерапия еще не была клинически показана. Оценка боли за последние 24 часа с использованием Модифицированного короткого опросника оценки боли (BPI-SF) 0-1 балл принималась за отсутствие симптомов, а 2-3 балла – за наличие легких симптомов.
Медиана возраста включенных в исследование 302 (n = 1088) пациентов составила 71 год для участников в группе абиратерона ацетата в комбинации с преднизоном или преднизолоном и 70 лет для участников в группе плацебо в комбинации с преднизоном или преднизолоном. Количество пациентов в группе абиратерона ацетата с разбивкой по расовым группам составило: европеоидная раса – 520 (95,4%), негроидная раса – 15 (2,8%), монголоидная раса – 4 (0,7%), другие – 6 (1,1%). Эффективность по классификации Восточной кооперативной онкологической группы (ECOG) составила 0 для 76% пациентов и 1 для 24% пациентов в обеих группах. У 50% пациентов были только метастазы в кости, еще у 31% – метастазы в кости и мягкие ткани или в лимфатические узлы, а у 19% – только метастазы в мягкие ткани или в лимфатические узлы. Пациентов с висцеральными метастазами не включали в исследование. Совместными первичными конечными точками эффективности были общая выживаемость и выживаемость без рентгенологического прогрессирования (рВБП). Дополнительно к совместным первичным конечным точкам пользу также оценивали по времени до начала применения опиатов при онкологической боли, времени до начала цитотоксической химиотерапии, времени до ухудшения показателя по шкале ECOG на ≥ 1 балл и времени до повышения уровня ПСА согласно Критериям рабочей группы-2 по раку предстательной железы (PCWG2). Исследуемое лечение прекращали при выявлении однозначного клинического прогрессирования. По решению исследователя лечение могло быть прекращено при рентгенологическом подтверждении прогрессирования заболевания.
Выживаемость без рентгенологического прогрессирования оценили по результатам анализа последовательных исследований согласно критериям PCWG2 (для поражений костей) и модифицированным критериям оценки ответа солидных опухолей (RECIST) (для поражений мягких тканей). Анализ рВБП выполнили методом централизованной рентгенографической оценки прогрессирования.
На момент выполнения запланированного анализа зарегистрирован 401 случай рВБП, у 150 (28%) пациентов в группе абиратерона ацетата и у 251 (46%) пациента в группе плацебо выявлены рентгенологические признаки прогрессирования или наступила смерть. Выявлено значимое различие рВБП между группами лечения (см. таблицу 4 и рисунок 3).
Таблица 4. Исследование 302: Выживаемость без рентгенологического прогрессирования у пациентов, получавших абиратерона ацетат или плацебо в комбинации с преднизоном или преднизолоном, которые одновременно получали аналоги ЛГРГ или ранее перенесли орхиэктомию
|
|
Абиратерона ацетат (N = 546) |
Плацебо (N=542) |
|
Выживаемость без рентгенологического прогрессирования |
|
|
|
Прогрессирование или смерть |
150 (28%) |
251 (46%) |
|
Медиана рВБП в месяцах (95% ДИ) |
Не достигнута (11,66; НПО) |
8,3 (8,12; 8,54) |
|
Значение р* |
< 0,0001 |
|
|
Отношение рисков** (95% ДИ) |
0,425 (0,347; 0,522) |
|
НПО = не подлежит оценке.
*Значение р получено с использованием логрангового критерия, стратифицированного по оценке по шкале ECOG на исходном уровне (0 или 1).
**Отношение рисков < 1 в пользу абиратерона ацетата.
Рисунок 3. Кривые Каплана-Мейера для выживаемости без рентгенологического прогрессирования у пациентов, получавших абиратерона ацетат или плацебо в комбинации с преднизоном или преднизолоном, которые одновременно получали аналоги ЛГРГ или ранее перенесли орхиэктомию

АА = абиратерона ацетат
Однако сбор данных пациентов продолжали до даты второго промежуточного анализа общей выживаемости (ОВ). Результаты анализа рВБП по данным рентгенографии, выполненного исследователем в качестве последующего анализа чувствительности, представлены в таблице 5 и на рисунке 4.
У 607 пациентов наблюдалось рентгенологическое прогрессирование или наступила смерть: 271 (50%) в группе абиратерона ацетата и 336 (62%) в группе плацебо. Лечение абиратерона ацетатом снижало риск рентгенологического прогрессирования или смерти на 47% по сравнению с плацебо (ОР = 0,530; 95% ДИ: [0,451; 0,623], р < 0,0001). Медиана рВБП составила 16,5 месяца в группе абиратерона ацетата и 8,3 месяца в группе плацебо.
Таблица 5. Исследование 302: Выживаемость без рентгенологического прогрессирования у пациентов, получавших абиратерона ацетат или плацебо в комбинации с преднизоном или преднизолоном, которые одновременно получали аналоги ЛГРГ или ранее перенесли орхиэктомию (по данным второго промежуточного анализа ОВ – по оценке исследователем)
|
|
Абиратерона ацетат (N = 546) |
Плацебо (N=542) |
|
Выживаемость без рентгенологического прогрессирования |
|
|
|
Прогрессирование или смерть |
271 (50%) |
336 (62%) |
|
Медиана рВБП в месяцах |
16,5 |
8,3 |
|
(95% ДИ) |
(13,80; 16,79) |
(8,05; 9,43) |
|
Значение р* |
< 0,0001 |
|
|
Отношение рисков** (95% ДИ) |
0,530 (0,451; 0,623) |
|
*Значение р получено с использованием логрангового критерия, стратифицированного по оценке по шкале ECOG (0 или 1).
**Отношение рисков < 1 в пользу абиратерона ацетата.
Рисунок 4. Кривые Каплана-Мейера для выживаемости без рентгенологического прогрессирования у пациентов, получавших абиратерона ацетат или плацебо в комбинации с преднизоном или преднизолоном, которые одновременно получали аналоги ЛГРГ или ранее перенесли орхиэктомию (по данным второго промежуточного анализа ОВ – по оценке исследователем)

АА = абиратерона ацетат.
Запланированный промежуточный анализ ОВ выполнили после регистрации 333 случаев смерти. Исследование было демаскировано на основании наблюдаемой клинической пользы, и пациентам в группе плацебо предложили лечение абиратерона ацетатом. Общая выживаемость была выше в группе абиратерона ацетата, чем в группе плацебо со снижением риска смертности на 25% (ОР = 0,752; 95% ДИ: [0,606; 0,934], р = 0,0097), однако данные по ОВ не были конечными, и промежуточные результаты не соответствовали заранее установленному критерию статистической значимости (см. таблицу 3). Данные по выживаемость продолжили анализировать после выполнения данного промежуточного анализа.
Запланированный итоговый анализ ОВ выполнили после регистрации 741 случая смерти (медиана продолжительности наблюдения 49 месяцев). Умерли 65% (354 из 546) пациентов в группе абиратерона ацетата по сравнению с 71% (387 из 542) пациентов в группе плацебо. Продемонстрировано статистически значимое преимущество в отношениии ОВ в группе абиратерона ацетата со снижением риска смертности на 19,4% (ОР = 0,806; 95% ДИ: [0,697; 0,931], р = 0,0033) и увеличение медианы ОВ на 4,4 месяца (34,7 месяца в группе абиратерона ацетата, 30,3 месяца в группе плацебо) (см. таблицу 6 и рисунок 5). Это улучшение сохранялось, даже несмотря на то, что 44% пациентов в группе плацебо получали абиратерона ацетат в качестве последующей терапии.
Таблица 6. Исследование 302: Общая выживаемость у пациентов, получавших абиратерона ацетат или плацебо в комбинации с преднизоном или преднизолоном, которые одновременно получали аналоги ЛГРГ или ранее перенесли орхиэктомию
|
|
Абиратерона ацетат (N = 546) |
Плацебо (N=542) |
|
Промежуточный анализ выживаемости |
|
|
|
Смертность (%) |
147 (27%) |
186 (34%) |
|
Медиана выживаемости (месяцы) (95% ДИ) |
Не достигнуто (НО; НО) |
27,2 (25,95; НО) |
|
Значение р* |
0,0097 |
|
|
Отношение рисков** (95% ДИ) |
0,752 (0,606; 0,934) |
|
|
Итоговый анализ выживаемости |
|
|
|
Смертность (%) |
354 (65%) |
387 (71%) |
|
Медиана выживаемости в месяцах (95% ДИ) |
34,7 (32,7; 36,8) |
30,3 (28,7; 33,3) |
|
Значение р* |
0,0033 |
|
|
Отношение рисков** (95% ДИ) |
0,806 (0,697; 0,931) |
|
НО = не оценивалось.
*Значение р получено с использованием логрангового критерия, стратифицированного по оценке по шкале ECOG на исходном уровне (0 или 1).
**Отношение рисков < 1 в пользу абиратерона ацетата.
Рисунок 5. Кривые выживаемости Каплана-Мейера для выживаемости у пациентов, получавших абиратерона ацетат или плацебо в комбинации с преднизоном или преднизолоном, которые одновременно получали аналоги ЛГРГ или ранее перенесли орхиэктомию, итоговый анализ

АА = абиратерона ацетат
Помимо наблюдаемого улучшения общей выживаемости и рВБП, преимущество абиратерона ацетата перед плацебо продемонстрировали для всех вторичных конечных точек, измеренных следующим образом:
Время до прогрессирования ПСА на основании критериев PCWG2: медиана времени до прогрессирования ПСА составила 11,1 месяца у пациентов в группе абиратерона ацетата и 5,6 месяца у пациентов в группе плацебо (СР = 0,488; 95% ДИ: [0,420; 0,568], р < 0,0001). Время до прогрессирования ПСА примерно удвоилось при лечении абиратерона ацетатом (СР = 0,488). Доля пациентов с подтвержденным ПСА ответом была выше в группе абиратерона ацетата, чем в группе плацебо (62% по сравнению с 24%; р < 0,0001). У пациентов с поддающимся измерению заболеванием мягких тканей лечение абиратерона ацетатом значимо увеличило частоту полного и частичного ответов опухоли.
Время до начала применения опиатов при онкологической боли: среднее время до применения опиатов при болях, вызванных раком предстательной железы, на момент выполнения итогового анализа составило 33,4 месяца у пациентов в группе абиратерона ацетата и 23,4 месяца у пациентов в группе плацебо (ОР = 0,721; 95% ДИ: [0,614 0,846], р <0,0001).
Время до начала цитотоксической химиотерапии: среднее время до начала цитотоксической химиотерапии составило 25,2 месяца у пациентов в группе абиратерона ацетата и 16,8 месяца у пациентов в группе плацебо (ОР = 0,580; 95% ДИ: [0,487; 0,691], р < 0,0001).
Время до ухудшения оценки по шкале ECOG на ≥ 1 балл: среднее время до ухудшения оценки эффективности по шкале ECOG на ≥ 1 балл составило 12,3 месяца у пациентов в группе абиратерона ацетата и 10,9 месяца у пациентов в группе плацебо (ОР = 0,821; 95% ДИ: [0,714; 0,943], р = 0,0053).
Следующие конечные точки исследования подтвердили статистически значимое преимущество лечения абиратерона ацетатом:
Объективный ответ: объективный ответ определяли как долю пациентов с измеримым заболеванием, которые достигли полного или частичного ответа по критериям шкалы RECIST (на исходном уровне в качестве целевого поражения рассматривали только лимфатические узлы размером ≥ 2 см). Доля пациентов с измеримым заболеванием на исходном уровне, у которых развился объективный ответ, составила 36% в группе абиратерона ацетата и 16% в группе плацебо (р < 0,0001).
Боль: лечение абиратерона ацетатом значимо снижало риск прогрессирования интенсивности обычной боли – на 18% по сравнению с плацебо (р = 0,0490). Медиана времени до прогрессирования составила 26,7 месяца в группе абиратерона ацетата и 18,4 месяца в группе плацебо.
Время до ухудшения состояния по шкале FACT-Р (общий балл): лечение абиратерона ацетатом снижало риск ухудшения состояния по шкале FACT-Р (общая оценка) на 22% по сравнению с плацебо (р = 0,0028). Среднее время до ухудшения состояния по шкале FACT-Р (общая оценка) составило 12,7 месяца в группе абиратерона ацетата и 8,3 месяца в группе плацебо.
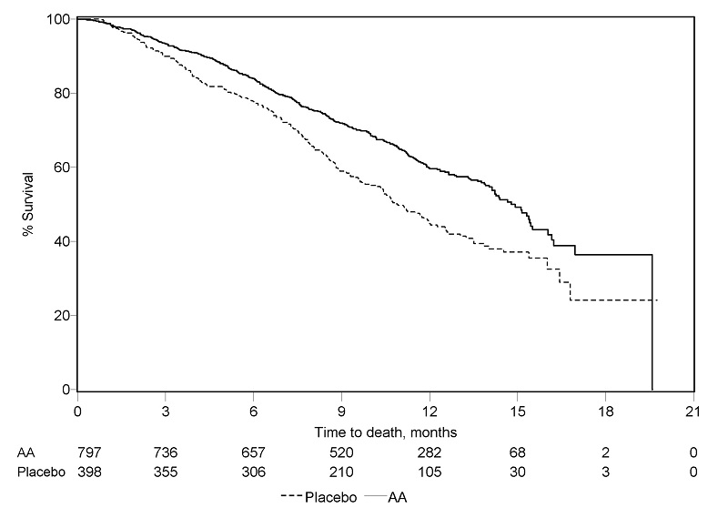
Исследование 301 (пациенты, ранее получавшие химиотерапию)
В исследование 301 включали пациентов, ранее получавшие доцетаксел. Прогрессирование заболевания на фоне лечения доцетакселом не было обязательным условием, поскольку лечение могло быть прекращено вследствие токсичности данного химиопрепарата. Пациенты продолжали получать исследуемую терапию до прогрессирования уровня ПСА (подтвержденное повышение на 25% от исходного уровня) в комплексе с определенным протоколом рентгенологическим прогрессированием, а также симптоматическим или клиническим прогрессированием. Пациентов, ранее получавших кетоконазол для лечения рака предстательной железы, не включали в данное исследование. Первичной конечной точкой эффективности была общая выживаемость.
Медиана возраста включенных в исследование пациентов составила 69 лет (диапазон 39-95 лет). Количество пациентов, получавших абиратерона ацетат с разбивкой по расовым группам: европеоидная раса - 737 (93,2%), негроидная раса - 28 (3,5%), монголоидная раса - 11 (1,4%) и другие - 14 (1,8%). 11% включенных пациентов имели оценку 2 по шкале ECOG; у 70% были рентгенологические признаки прогрессирования заболевания с прогрессированием ПСА или без него; 70% получили один курс предшествующей цитотоксической химиотерапии и 30% получили два курса. Метастазы в печень присутствовали у 11% пациентов, получавших абиратерона ацетат.
На момент запланированного анализа, выполненного после регистрации 552 случаев смерти, умерли 42% (333 из 797) пациентов в группе абиратерона ацетата по сравнению с 55% (219 из 398) пациентов в группе плацебо. Статистически значимое увеличение медианы общей выживаемости наблюдалось у пациентов в группе абиратерона ацетата (см. таблицу 7).
Таблица 7. Общая выживаемость у пациентов, получавших абиратерона ацетат или плацебо в комбинации с преднизоном или преднизолоном, которые одновременно получали аналоги ЛГРГ или ранее перенесли орхиэктомию
|
|
Абиратерона ацетат (N = 797) |
Плацебо (N = 398) |
|
Основной анализ выживаемости |
|
|
|
Смертность (%) |
333 (42%) |
219(55%) |
|
Медиана выживаемости (месяцы) (95% ДИ) |
14,8 (14,1; 15,4) |
10,9 (10,2; 12,0) |
|
Значение ра |
<0,0001 |
|
|
Отношение рисков (95% ДИ)b |
0,646 (0,543; 0,768) |
|
|
Обновленный анализ выживаемости |
|
|
|
Смертность (%) |
501 (63%) |
274 (69%) |
|
Медиана выживаемости (месяцы) (95% ДИ) |
15,8(14,8; 17,0) |
11,2 (10,4; 13,1) |
|
Отношение рисков (95% ДИ)b |
0,740 (0,638; 0,859) |
|
aЗначение р получено с использованием логрангового критерия, стратифицированного по оценке по шкале ECOG (0-1 или 2), оценке боли (отсутствует или присутствует), количеству проведенных линий химиотерапии (1 или 2) и типу прогрессирования заболевания (только ПСА или рентгенографическое).
bОтношение рисков получено из стратифицированной модели пропорциональных рисков. Отношение рисков < 1 в пользу абиратерона ацетата.
Во всех временных точках оценки после первых нескольких месяцев лечения доля выживших пациентов в группе абиратерона ацетата была выше, чем в группе плацебо (см. рисунок 6).
Рисунок 6. Кривые Каплана-Мейера для выживаемости у пациентов, получавших абиратерона ацетат или плацебо в комбинации с преднизоном или преднизолоном, которые одновременно получали аналоги ЛГРГ или ранее перенесли орхиэктомию

АА = абиратерона ацетат.
Результаты анализа выживаемости в подгруппах подтвердили стабильное преимущество лечения абиратероном ацетатом в отношении выживаемости (см. рисунок 7).
Рисунок 7. Общая выживаемость в подгруппах: отношение рисков и 95% доверительный интервал

АА = абиратерона ацетат; BPI = короткий опросник оценки боли; C.I. = доверительный интервал; ECOG = шкала оценки общего состояния Восточной объединенной онкологической группы; HR = соотношение рисков; NE = не оценивалось.
Помимо наблюдаемого увеличения общей выживаемости, все вторичные конечные точки исследования подтвердили преимущество абиратерона ацетата, статистическая значимость сохранилась после внесения поправки на множественное тестирование:
У пациентов в группе абиратерона ацетата зарегистрирована значимо более высокая общая частота ответа ПСА (определяемая как снижение на ≥ 50% от исходного уровня) по сравнению с пациентами в группе плацебо: 38% по сравнению с 10%, р < 0,0001.
Среднее время до прогрессирования ПСА составило 10,2 месяца у пациентов в группе абиратерона ацетата и 6,6 месяца у пациентов в группе плацебо (ОР = 0,580; 95% ДИ: [0,462; 0,728], р < 0,0001).
Медиана выживаемости без рентгенологического прогрессирования составила 5,6 месяца у пациентов в группе абиратерона ацетата и 3,6 месяца у пациентов в группе плацебо (ОР = 0,673; 95% ДИ: [0,585; 0,776], р < 0,0001).
Боль
Доля пациентов с облегчением боли была статистически значимо выше в группе абиратерона ацетата, чем в группе плацебо (44% по сравнению с 27%, р = 0,0002). Ответ в виде облегчения боли определялся как снижение выраженности боли по меньшей мере 30% от максимального балла интенсивности боли по BPI-SF на исходном уровне за последние 24 часа без увеличения оценки применения анальгетиков по данным 2 последовательных оценок, проведенных с интервалом в 4 недели. В анализ облегчения боли включили только пациентов с оценкой боли ≥ 4 на исходном уровне и имеющих результаты по меньшей мере одной оценки боли после исходного уровня (N = 512).
Доля пациентов, у которых наблюдалось прогрессирование боли, была меньше в группе абиратерона ацетата, чем в группе плацебо через 6 (22% по сравнению с 28%), 12 (30% по сравнению с 38%) и 18 месяцев (35% по сравнению с 46%). Прогрессирование боли определялось как увеличение максимального балла интенсивности боли по BPI-SF за последние 24 часа без увеличения оценки применения анальгетиков по данным 2 последовательных визитов на ≥ 30% от исходного уровня или увеличение оценки применения анальгетиков по данным 2 последовательных визитов на ≥ 30%. Время до прогрессирования боли в 25-ом процентиле составило 7,4 месяца в группе абиратерона ацетата по сравнению с 4,7 месяца в группе плацебо.
Явления, связанные со скелетом
У меньшей доли пациентов в группе абиратерона ацетата наблюдались осложнения со стороны костей по сравнению с группой, получавшей плацебо, через 6 (18% по сравнению с 28%), 12 (30% по сравнению с 40%) и 18 месяцев (35% по сравнению с 40%). Время до первого события, связанного с осложнениями со стороны костей, в 25-ом процентиле в группе абиратерона ацетата в 2 раза превышало время в группе плацебо: 9,9 месяца по сравнению с 4,9 месяца. События, связанные с осложнениями со стороны костей, определялись как патологические переломы, сдавление спинного мозга, паллиативное облучение костей или хирургическое вмешательство.
Дети
Европейское агентство по лекарственным средствам (European Medicines Agency, EMA) освободило от обязанности предоставить результаты исследований применения оригинального препарата ЗИТИГА во всех подгруппах детей для лечения местнораспространенного рака предстательной железы. Информацию по применению у детей см. в разделе 4.2.
После применения абиратерона ацетата фармакокинетику абиратерона изучали у здоровых добровольцев, пациентов с метастатическим местнораспространенным раком предстательной железы и у пациентов без злокачественных новообразований с печеночной или почечной недостаточностью. Абиратерона ацетат in vivo быстро конвертируется в абиратерон, который является ингибитором биосинтеза андрогенов (см. раздел 5.1).
Абсорбция
После приема абиратерона ацетата внутрь натощак время достижения максимальной концентрации в плазме крови составляет примерно 2 часа.
Прием абиратерона ацетата с пищей, по сравнению с приемом данного препарата натощак, обеспечивает 10-кратное увеличение площади под кривой «концентрация-время» (AUC) и 17-кратное увеличение максимальной концентрации абиратерона (Сmax) в зависимости от количества жира в пище. Учитывая нормальную вариабельность содержания и состава пищи, прием абиратерона ацетата с пищей может оказывать разное влияние на его системную экспозицию. Поэтому абиратерона ацетат нельзя принимать с пищей. Препарат следует принимать не менее чем за 1 час до еды или не менее чем через 2 часа после еды. Таблетки следует проглатывать целиком, запивая водой (см. раздел 4.2).
Распределение
Меченный 14С-абиратерон связывался с белками плазмы крови человека на 99,8%. Кажущийся объем распределения составил примерно 5,630 л, что свидетельствует об активном распределении абиратерона в периферических тканях.
Биотрансформация
После приема внутрь 14С-абиратерона ацетата в капсулах абиратерона ацетат гидролизуется до абиратерона, который, в свою очередь, подвергается метаболизму, включая сульфатирование, гидроксилирование и окисление, главным образом, в печени. Большая часть циркулирующей (примерно 92%) представлено метаболитами абиратерона. Из 15 поддающихся обнаружению метаболитов, на 2 основных метаболита – абиратерона сульфат и N-оксид абиратерона сульфат – приходится по 43% общей радиоактивности.
Элиминация
По данным исследований с участием здоровых добровольцев, средний период полувыведения абиратерона из плазмы крови составляет примерно 15 часов. При пероральном приеме меченного 14С-абиратерона ацетата в дозе 1000 мг примерно 88% радиоактивной дозы выводилось через кишечник и приблизительно 5% - почками. Основные выявленные в фекалиях соединения: неизмененный абиратерона ацетат и абиратерон (примерно 55% и 22% введенной дозы соответственно).
Особые группы пациентов
Пациенты с печеночной недостаточностью
Фармакокинетику абиратерона ацетата изучали у пациентов с печеночной недостаточностью легкой и средней степени тяжести (класс А и В по классификации Чайлд-Пью соответственно) и у здоровых добровольцев. Системная экспозиция абиратерона ацетата после однократного приема внутрь в дозе 1000 мг увеличивалась примерно на 11% у пациентов с печеночной недостаточностью легкой степени и на 260% у пациентов с печеночной недостаточностью средней степени тяжести. Средний период полувыведения абиратерона увеличивается примерно до 18 часов у пациентов печеночной недостаточностью легкой степени и примерно до 19 часов у пациентов с печеночной недостаточностью средней степени тяжести.
В другом исследовании фармакокинетику абиратерона изучали у пациентов с предсуществовавшей тяжелой (n = 8) печеночной недостаточностью (класс С по классификации Чайлд-Пью) и у 8 здоровых контрольных участников с нормальной функцией печени. AUC абиратерона была выше примерно на 600%, а фракция свободного препарата – на 80% у пациентов с тяжелой печеночной недостаточностью, чем у пациентов с нормальной функцией печени.
Коррекция дозы не требуется пациентам с предсуществующей легкой печеночной недостаточностью. Следует с осторожностью назначать абиратерона ацетат пациентам с печеночной недостаточностью средней степени тяжести, у которых польза должна однозначно превышать возможный риск (см. разделы 4.2 и 4.4). Абиратерона ацетат не следует применять у пациентов с тяжелой печеночной недостаточностью (см. разделы 4.2, 4.3 и 4.4).
Пациентам, у которых в процессе терапии лекарственным препаратом развилась гепатотоксичность, может потребоваться временная отмена препарата и коррекция дозы (см. разделы 4.2 и 4.4).
Пациенты с почечной недостаточностью
Фармакокинетику абиратерона ацетата сравнили у пациентов с терминальной стадией почечной недостаточности, получавших стабильную схему гемодиализа, и у подобранных участников с нормальной функцией почек. Системная экспозиция абиратерона ацетата после приема внутрь в дозе 1000 мг у пациентов с терминальной стадией почечной недостаточности, получавших гемодиализ, не увеличивалось. Применение у пациентов с почечной недостаточностью, в том числе тяжелой степени, не требует коррекции дозы препарата (см. раздел 4.2). Следует с осторожностью назначать абиратерона ацетат пациентам с раком предстательной железы и тяжелым нарушением функции почек, поскольку клинические данные о применении абиратерона ацетата у таких пациентов отсутствуют. Требуется соблюдать осторожность при применении препарата у таких пациентов.
Во всех исследованиях токсичности на животных зарегистрировали выраженное снижение уровня тестостерона в циркуляции. Результатом этого было уменьшение массы органов и морфологические и/или гистопатологические изменения в репродуктивных органах, а также надпочечниках, гипофизе и молочных железах. Все изменения были полностью или частично обратимыми. Изменения в репродуктивных органах и органах, чувствительных к андрогенам, обусловлены механизмом действия абиратерона. В течение 4-недельного периода гормональный статус животных практически восстанавливался.
После прекращения терапии абиратероном снижение фертильности самцов и самок крыс наблюдали в течение 4-16 недель, затем изучаемая функция организма животных нормализовалась.
В исследовании эмбрио- и фетотоксичности на крысах выявили влияние абиратерона ацетата на беременность, которое проявлялось снижением массы и выживаемости плодов. Наблюдалось влияние на наружные половые органы, однако абиратерона ацетат не оказывал тератогенное действие.
Все эффекты, наблюдавшиеся в исследованиях фертильности и эмбрио- и фетотоксичности на крысах, были опосредованы механизмом действия абиратерона.
Помимо изменений в репродуктивных органах, наблюдаемых во всех токсикологических исследованиях на животных, доклинические данные, полученные в традиционных исследованиях фармакологической безопасности, токсичности многократных доз, генотоксичности и канцерогенности, не указывают на существование особой опасности для человека. Абиратерона ацетат не проявил канцерогенности в 6-месячном исследовании на трансгенных (Tg.rasH2) мышах. В 24-месячном исследовании канцерогенности на крысах абиратерона ацетат повысил частоту новообразований интерстициальных клеток в семенниках. Этот эффект расценен как связанный с фармакологическим действием абиратерона и является специфичным для крыс. Абиратерона ацетат не был канцерогенным для самок крыс.
Оценка рисков для окружающей среды
Активное вещество абиратерон представляет опасность для водной среды, особенно для рыб.
Лактозы моногидрат
Целлюлоза микрокристаллическая
Кроскармеллоза натрия
Повидон К-25
Натрия лаурилсульфат
Магния стеарат
Кремния диоксид коллоидный безводный
Не применимо.
2 года.
Хранить в защищенном от света месте при температуре не выше 25°С.
По 30 или 60 таблеток в банке полимерной с крышкой натягиваемой с контролем первого вскрытия, уплотнительное средство – вата медицинская. Одна банка с листком-вкладышем во вторичной упаковке из картона коробочного.
За счет своего механизма действия данный лекарственный препарат может нанести вред развивающемуся плоду, поэтому беременным женщинам или женщинам, которые могут быть беременны, при работе с ним следует использовать средства защиты, например, перчатки.
Любой неиспользованный лекарственный препарат или отходы следует утилизировать в соответствии с местными требованиями. Данный лекарственный препарат может представлять опасность для водной среды (см. раздел 5.3).
По рецепту.
Белорусско-голландское совместное предприятие общество с ограниченной ответственностью «ФАРМЛЭНД» (СП ООО «ФАРМЛЭНД»)
Республика Беларусь, 222603, Минская область, г. Несвиж, ул. Ленинская, 124, к. 3.
E-mail: mail@pharmland.by.
За любой информацией о лекарственном препарате, а также в случаях возникновения претензий следует обращаться к держателю регистрационного удостоверения.

